注册结构工程师:管嘴的恒定出流
更新时间:2010-07-23 08:59:17
来源:|0
浏览
收藏
结构工程师报名、考试、查分时间 免费短信提醒
二、管嘴的恒定出流

在孔口周界上连接一长度l≈3d~4d(d为孔口直径)的短管,流体经短管流出,并在出口断面形成满管流,这样的流动称管嘴出流。
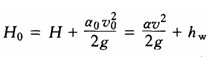
如图6-5-3的圆柱形外管嘴,流体进入管嘴直至收缩断面C-C的流动情况与孔口相同。由于收缩,使流体与管壁分离,形成旋涡区。然后液流再扩大充满整个管道断面后流出。设水箱水位不变,表面为大气压强,则有

式中 hw为管嘴的水头损失,因长度不大,忽略沿程损失,则

v为管嘴出口断面的平均流速。
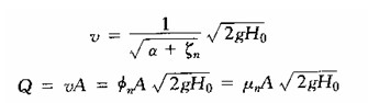
最后得到

式中声,φn为管嘴的流速系数,μn为管嘴的流量系数。由于出口断面无收缩,φn=μn。由实验资料得圆柱形外管嘴的流量系数μn= 0.82。这样,在作用水头、直径相同时,圆柱形外管嘴出流的流量比孔口要大1.32倍。管嘴的局部阻力比孔口大,为何流量反比孔口大呢?这是管嘴的水流现象造成的,因为在管嘴的收缩断面上形成了真空。可以证明,其真空度为其作用水头的0.75倍。在C-C断面真空的抽吸作用下,流量增大。但真空度达7m水柱以上时,液体将会汽化或空气会自管口压入,收缩断面的真空将被破坏。因此对真空度要加以限制,从而限制了作用水头Ho≤7/0.75≤9m。
综上所述,要使圆柱形管嘴正常工作需满足l=3~4d及Ho≤9m的条件。
2010年注册结构工程师考试报名时间信息汇总
结构工程师基础科目(一)考试普通化学练习题汇总
2010年结构师考试9月18、19日
更多信息请访问:结构工程师频道 结构工程师论坛
编辑推荐
下一篇:注册结构工程师:有压管道恒定流
最新资讯
- 2025年一级注册结构工程师考前实战试题解析:突破考试瓶颈的终极指南‌2025-10-13
- 2025年一级注册结构工程师常考知识点2025-02-17
- 2025年二级注册结构工程师高频知识点2025-02-17
- 2024年度二级注册结构工程师专业考试资料:规范、标准、规程2024-08-13
- 2024年度一级注册结构工程师专业考试资料:规范、标准、规程2024-08-13
- 环球网校双11预售开启!定金百倍膨胀,直播再返现金2023-10-25
- 环球网校结构工程师双11活动来啦,限时优惠!2023-10-25
- 注册结构工程师考试大纲下载2023-05-16
- 2023年一级注册结构工程师考试大纲内容2023-04-14
- 2023年结构工程师教材内容变动对比2023-04-10